徠卡機器人全站儀助力三等水準測量
一、前言
目前高程測量方法一般分為幾何水準測量、GPS水準測量和三角高程測量三大類。采用傳統水準的方法測定點與點之間的高差,所得到的地面點高程精度較高,普遍用于建立國家高程控制點及測定高等級地形控制點的高程。對于地面高低起伏較大的地區,采用這種方法測定地面點的高程進程緩慢,有時甚至非常困難。

精密三角高程測量在丘陵地、山地、高山地區相比常規水準測量,因架站少、架站自由、靈活、快速,不需要量測儀器、棱鏡高,傳遞高程優勢顯著,能大大降低外業勞動強度,但受限于全站儀的硬件性能,此前一直未能在生產中實際應用;徠卡測量機器人的出現,打破了三角高程測量不能代替高精度水準測量的束縛,徠卡自動全站儀多測回自動觀測、自動識別限差,給野外測量帶來很大的便利,尤其夜間觀測成果更佳。
二、精密三角高程測量技術的可行性研究

作業流程:
檢測棱鏡互差,并檢核棱鏡的加裝是否符合要求,同時還要對全站儀進行組合檢校;
在起點布設棱鏡桿,在距離起點較近的一點(轉點1),布設主站;
主站在轉點1依次觀測棱鏡桿低棱鏡(①)和棱鏡桿高棱鏡(②);
主站不動,在轉點2架設輔站。依次進行如下觀測:后測站觀測低棱鏡(③)、前測站觀測低棱鏡(④)、前測站觀測高棱鏡(⑤)、后測站觀測高棱鏡(⑥);
主站換站至轉點3,輔站不動。依次進行如下觀測:后測站觀測低棱鏡(⑦)、前測站觀測低棱鏡(⑧)、前測站觀測高棱鏡(⑨)、后測站觀測高棱鏡(⑩);
輔站換站,依次循環進行高程的傳遞至接近末點處;
在最后的轉站,主站依次觀測末點高低棱鏡。
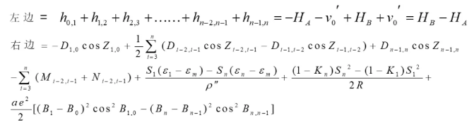
數據模型:

限差

三、項目驗證
為了驗證精密三角高程測量的精度, 內蒙古自治區測繪院使用徠卡TCRA1201全站儀、徠卡TS30全站儀及徠卡TS60全站儀等檢測了很多段用數字電子水準儀測得二等水準路線。其結果如表所示, 精密三角高程測量是完全可以達到二等水準測量的要求。

四、經驗積累、廣泛應用
自2010年5月以來,內蒙古自治區測繪院在呼和浩特、包頭、鄂爾多斯、巴彥淖爾市、烏蘭察布市、赤峰市已成功的使用徠卡自動全站儀精密三角高程測量代替二等水準測量1700多千米;在烏蘭察布市、呼倫貝爾市、興安盟、赤峰市等地方成功的使用徠卡自動全站儀精密三角高程測量代替三等水準測量4000多千米。

經過數年的研究,不同時間,不同區域,所測得的數據基本都能滿足國家二等水準測量規范的要求。徠卡自動全站儀搭配三角高程測量軟件、計算軟件和正確的測量方法,達到了目的和效果。同時我們也積累了諸多的外業經驗:
盡可能使用無伸縮腳架觀測,測段起、末水準點上,對中桿要放穩,保持高度不。
對向觀測時,如一站觀測時間過長,應重測對向觀測。
白天平均氣溫超過26℃時,在保障安全的作業前提下,最好在夜間作業,提前踏勘、選定觀測路線和測站點,更能顯著提高作業效率。
白天作業視線長度不宜超過800米,經過大量測量數據證明500米左右為最佳觀測距離。
白天作業時間遵照水準測量規范上的要求,由于在陽光直射和地面溫度較高,熱氣浪大時大氣折光影響較大。
自動照準觀測,視場內不能有遮擋物在棱鏡前。
視線不能通過煙火上空,觀測目標背后不能有大面積反光地物(蔬菜大棚),大面積水域。
在ATR自動照準時盡量避免陽光直射,由于正對太陽時,在自動照準光路中會有噪聲,從而影響自動照準的精度。

五、總結
傳統二、三等水準在山地、高山的測量中,需要耗費大量的人力、物力和財力,且效率極低。以傳統水準測量為例,在山地連測二、三等水準,單程連續觀測前后視距5-10米,一站一站連測,一個組一天連測3-5公里左右,依據財政部、國家測繪局2009 年頒布的《測繪生產成本費用定額》計算,100個水準點需要聯測1000千米。若對這些點進行二等水準觀測,100個水準點觀測的費用為207萬元,一個組5人需要400天完成。而同樣任務利用徠卡自動全站儀精密三角高程聯測二等水準,一個組一天聯測8-10公里左右,200天以內就可以完成1000千米的水準測量,節省大量的人力、物力。應用徠卡自動全站儀精密三角高程代替二、三等水準測量在困難地區聯測,可產生巨大的經濟效益。
徠卡自動全站儀精密三角高程測量具有傳遞高程靈活、方便、受地形條件限制較少等優點,徠卡測量機器人超高的測角測距精度,為精密三角高程測量提供了硬件保障,目前徠卡自動全站儀精密三角高程測量在大地測量、工程測量中得到了廣泛的應用。
更多相關
如何使用全站儀進行導線測量?全站儀導線測量步驟
使用全站儀進行導線測量,通常用于建立和復測大地控制網,如建筑放樣、道路施工、地形測量等。南京環球測繪為您詳解全站儀導線測量基本步驟!以下是全站儀導線測量基本步驟:1.準備工作:-確定測量路線:規劃...
徠卡TS16全站儀 優勢介紹
徠卡TS16全站儀高精度測量機器人自從推出以來,經過時間和市場測試,仍受到用戶的認可。現在,徠卡TS16全站儀全新升級,讓我們詳細看看新款徠卡TS16的優勢!自動量高更方便新款徠卡TS16全站儀增加...
GNSS接收機在煤礦垂直形變監測中的應用
山西省作為一個產煤大省,省內煤礦企業多達一千多座,每年的生產安全是每個煤企要抓的重中之重。由于煤礦開采完之后會形成大面積的采空區,采空區的治理尤為重要,因而許多煤礦會對采空區進行垂直形變監測。 ...
測繪技藝多日苦練終有成,南方測繪杯拉開帷幕
西湖的雨、白堤的浪、錢塘的潮、蘇堤的柳、靈隱的禪、南屏的鐘……杭州,一座天堂般的城市!西湖,一個夢一般的所在!7月25日,在這仙境般的美麗華貴之城,在濃妝艷抹總相宜的西子湖畔,測繪地理信息人翹首以...
徠卡全站儀在蘇州地鐵4號線自動化監測中的方案應用
吳江太湖新城軌交4號線松陵大道綜合交通樞紐項目即將進入到全面開啟階段,是蘇州市2018年度城建交通重點項目建設計劃。總用地面積約51900㎡,總建筑面積約25萬㎡,總投資約31.6億元。樞紐地上3...
三維激光掃描技術在地質災害調查中的應用
三維激光掃描技術是近幾年發展起來的一種新興測繪技術,該技術已廣泛應用于工程建設與物體三維測量等測繪及相關領域,具有高效率、高精度的獨特優勢。本文在介紹三維激光掃描儀的工作原理的基礎上,以邢臺峽谷群...
雷迪管線探測儀RD8200:城市地下管網的守護者
雷迪管線探測儀RD8200是一款先進的地下管線探測設備,由英國雷迪公司制造,廣泛應用于電力、燃氣、供水、排水等領域的管線定位、走向和深度探測。這款設備以其高精度、易用性和多功能性著稱,特別適合進行非破...
坐標轉換中的七參數詳談,測量員值得收藏
坐標轉換永遠是測繪工作離不開的一個話題。坐標轉換的方法很多,有的方法可以用相應的參數來描述,其中使用較廣的一個是七參數。七參數大多用于不同坐標系統間的基準變換。 七參數的由來 對于非測繪的專業...











環球測繪微信